Introduction
Suboxone is a medication used to treat opioid addiction, but it is important to understand how long it stays in the system to ensure safe usage.
How Does Suboxone Work?
Suboxone works by binding to opioid receptors in the brain, effectively blocking the euphoric effects of opioids and reducing withdrawal symptoms. It contains two active ingredients, buprenorphine, and naloxone. Buprenorphine is a partial opioid agonist that activates the receptors to a lesser extent than full opioid agonists like heroin or oxycodone. Naloxone, on the other hand, is an opioid antagonist that counteracts the effects of opioids. This combination helps individuals overcome opioid addiction by managing cravings and minimizing withdrawal symptoms.
How Long Does Suboxone Stay in Your System?
The duration for which Suboxone stays in your system can vary depending on various factors. The half-life of buprenorphine, one of the active ingredients in Suboxone, is around 24-60 hours. In general, it takes around five half-lives for a drug to be eliminated from the body. Therefore, Suboxone may be detectable in your system for approximately 5-13 days after the last dose. However, it is important to note that individual factors such as metabolism, dosage, frequency of use, and co-occurring medical conditions can influence how long the drug remains in the system.
It is essential to consider the two main components of Suboxone when understanding its duration in the system.
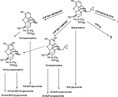
Buprenorphine:
Buprenorphine is metabolized by the liver, primarily through the enzyme cytochrome P450 3A4. The metabolites formed during this process, such as norbuprenorphine, can be detected in urine tests. The elimination half-life of buprenorphine can range from 24 to 60 hours. However, it may take longer for the drug to be completely cleared from the body due to the accumulation of its metabolites. Factors such as liver function, hydration, and individual variations in metabolism can affect the elimination time.
Naloxone:
Naloxone is metabolized relatively quickly by the liver and has a shorter half-life compared to buprenorphine, which is around 1-2 hours. This means that naloxone is eliminated from the system relatively faster than buprenorphine. However, naloxone is primarily included in Suboxone to deter misuse by individuals attempting to dissolve and inject the medication. Its presence does not significantly impact the duration of Suboxone in the body.
It is important to note that although Suboxone may no longer be detectable in the body after a certain period, its effects on opioid receptors can persist beyond its elimination. These effects can help manage withdrawal symptoms and cravings, allowing individuals to continue their journey towards recovery.
It is crucial to consult with a healthcare professional or addiction specialist for personalized information about how long Suboxone may stay in your system based on your specific circumstances.
What is Suboxone?
Suboxone is a medication formulated by combining two active ingredients – buprenorphine and naloxone. This medication is primarily used to assist individuals who are dependent on opioids in their recovery process. It belongs to a class of drugs known as opioid partial agonist-antagonist combinations.
Buprenorphine is a partial opioid agonist, meaning it activates the opioid receptors in the brain but has a diminished effect compared to full agonists like heroin or oxycodone. It helps alleviate withdrawal symptoms and cravings by binding to these opioid receptors without producing the same intense euphoria or respiratory depression.
Naloxone, on the other hand, is an opioid antagonist. Its purpose in Suboxone is to deter misuse of the medication. If someone attempts to inject or misuse Suboxone by dissolving and injecting it, naloxone will block the effects of other opioids and trigger withdrawal symptoms. However, when taken as prescribed under the tongue, the naloxone component is generally not absorbed into the bloodstream and has minor effects.
Suboxone is available in various forms, including sublingual films and tablets. The sublingual films are placed under the tongue and allowed to dissolve, while the tablets can be either dissolved under the tongue or administered orally. The dosage and duration of Suboxone treatment may vary based on the individual’s needs and opioid dependence severity.
This medication is commonly used as part of Medication-Assisted Treatment (MAT) programs, which combine pharmacological interventions with behavioral therapy or counseling. MAT programs aim to address both the physical and psychological aspects of opioid dependence, promoting recovery and reducing the risk of relapse.
It’s important to note that Suboxone is a prescription medication and should only be taken under the guidance and supervision of a healthcare professional. Self-medication or misuse of Suboxone can lead to adverse effects and dependency.
Suboxone has been proven effective in helping individuals manage withdrawal symptoms, reduce cravings, and improve their chances of successful recovery. However, its use should always be part of a comprehensive treatment plan that includes counseling and support services. If you or someone you know is struggling with opioid dependence, it is essential to seek professional help to determine the most appropriate treatment options.
Factors Affecting Elimination Time
Several factors can influence how long Suboxone stays in the system, including dosage, frequency of use, individual metabolism, and liver function.
When it comes to the elimination time of Suboxone, there are numerous factors that can play a role in determining how long it stays in the body. Understanding these factors can help individuals and healthcare professionals better comprehend the drug’s effects and develop tailored treatment plans.
Dosage:
The dosage of Suboxone that an individual takes can significantly impact how long it remains detectable in their system. Generally, higher doses take longer to be eliminated. This is due to the higher concentration of the drug in the body, which takes more time for natural processes, such as metabolism and excretion, to break down and eliminate the substance. Conversely, lower doses may be cleared more quickly.
It is crucial to follow the prescribed dosage guidelines provided by a healthcare professional to ensure the drug’s effectiveness while minimizing unnecessary exposure and potential side effects.
Frequency of Use:
Another significant factor that affects the elimination time of Suboxone is the frequency of use. The more frequently an individual uses the drug, the longer it may stay in their system. This is because Suboxone can accumulate in the body over time, causing it to take longer for the drug to be fully eliminated.
In addition, regular use of Suboxone can contribute to the development of a drug tolerance, meaning higher doses may be required to achieve the desired effects. Increased dosage can further prolong the drug’s elimination time.
To reduce the risk of prolonged elimination time and potential dependence, it is essential to follow the recommended dosing regimen and work closely with healthcare professionals to monitor and adjust the treatment plan as necessary.
Individual Metabolism:
Metabolism plays a crucial role in the elimination time of Suboxone. Individuals with a faster metabolism generally break down and eliminate substances more quickly compared to those with a slower metabolism. This means that individuals with a faster metabolism may have a shorter elimination time for Suboxone.
Factors that can influence an individual’s metabolism include age, overall health, genetics, and lifestyle choices. For instance, younger individuals typically have a faster metabolism than older individuals, while certain medical conditions can affect metabolism rates.
It is important to note that metabolism can vary greatly between individuals, and what may be true for one person may not be the case for another. Consulting with a healthcare professional can provide better insights into an individual’s metabolism and how it may affect the elimination time of Suboxone.
Liver Function:
The liver plays a vital role in processing and eliminating substances from the body. Healthy liver function is essential for efficient drug metabolism and elimination. Individuals with compromised liver function may take longer to eliminate Suboxone, as their liver may not be able to process and eliminate the drug at the same rate as individuals with healthy liver function.
Medical conditions such as liver disease or liver damage, as well as certain medications, can negatively impact liver function. In these cases, the elimination time of Suboxone may be extended.
It is crucial for individuals with liver conditions or those taking medications that can affect liver function to communicate with their healthcare professional. They can provide guidance on appropriate Suboxone dosages and monitor liver function throughout the treatment.
In conclusion, several factors can influence how long Suboxone stays in the system. The dosage, frequency of use, individual metabolism, and liver function all contribute to the drug’s elimination time. By considering these factors, healthcare professionals can develop personalized treatment plans and individuals can ensure the safe and effective use of Suboxone.
Half-Life of Suboxone
The half-life of Suboxone is a crucial factor in understanding how long the drug remains in your system. It refers to the amount of time it takes for the body to eliminate half of the drug. In the case of Suboxone, its half-life ranges from 24 to 60 hours.
During this period, the body gradually breaks down and metabolizes Suboxone. As a partial opioid agonist, Suboxone contains two main active ingredients: buprenorphine and naloxone. Buprenorphine works on the opioid receptors in the brain, relieving withdrawal symptoms and reducing cravings. The naloxone component helps prevent abuse by blocking the effects of opioids if the drug is taken through alternative routes, such as injection.
When Suboxone is taken, it enters the bloodstream and reaches peak effectiveness within a few hours. From there, it begins to be broken down by the liver into metabolites. The primary metabolite of buprenorphine, norbuprenorphine, can be detected in urine for an extended period after taking the drug. However, it is important to note that the presence of norbuprenorphine does not necessarily indicate recent use or impairment.
It is worth noting that the range of 24 to 60 hours for the half-life of Suboxone can vary depending on various factors. Individual factors such as age, weight, metabolism, liver function, and overall health can impact how long the drug lingers in the system. Suboxone is also available in different formulations, such as sublingual films or tablets, which may affect the absorption rate and elimination timeline.
The half-life of Suboxone is an essential consideration for medical professionals, as it influences dosing schedules and treatment plans. Generally, the drug is administered once daily or every other day to maintain a consistent level in the system. By understanding the half-life, healthcare providers can determine appropriate intervals for dosing and minimize the risk of withdrawal symptoms or medication discontinuation syndrome.
Furthermore, knowledge of Suboxone’s half-life plays a crucial role in drug testing. When screening for Suboxone use, urine tests are commonly employed. Due to the extended half-life, buprenorphine and its metabolites can be detectable in urine for up to several days after the last dose. However, it is important to note that detection times can vary depending on factors mentioned earlier.
In conclusion, the half-life of Suboxone ranges from 24 to 60 hours, meaning it takes this timeframe for the body to eliminate half of the drug. Understanding the half-life is critical for healthcare providers to establish appropriate dosing schedules and for drug testing purposes. However, it is crucial to consult a healthcare professional for personalized information and guidance regarding Suboxone usage and elimination from the body.
Detection Times in Urine
When it comes to detecting substances in urine, suboxone is no exception. The length of time that suboxone can be detected in urine varies depending on several factors, such as urine pH and hydration levels. On average, suboxone can be detected in urine for approximately 7 to 10 days after the last use.
The detection window of suboxone in urine may be influenced by urine pH levels. Generally, suboxone is more easily detected in acidic urine compared to alkaline urine. As the body metabolizes suboxone, it produces metabolites that are excreted through urine. The rate at which these metabolites are eliminated from the body can be affected by the pH of the urine. Therefore, urine pH plays a role in determining how long suboxone remains detectable in urine.
Hydration levels also impact the detection window of suboxone in urine. When the body is well hydrated, urine production increases, which can help flush out substances more efficiently. On the other hand, if a person is dehydrated, urine production decreases, leading to a longer detection window. Staying adequately hydrated may help shorten the period during which suboxone can be detected in urine.
It is important to note that the duration of suboxone detection in urine is an estimate and can vary from person to person. Factors such as metabolism, frequency of use, dosage, and individual differences can influence how long suboxone stays in the system. Additionally, different drug testing methods may have varying sensitivities and detection windows.
Suboxone is commonly used in medication-assisted treatment for opioid dependence. It contains a combination of buprenorphine and naloxone, which work together to reduce opioid cravings and withdrawal symptoms. Because suboxone is an opioid partial agonist, it can still be detected in urine even after its effects have worn off.
Drug testing for suboxone is often performed using urine samples. However, there are other methods available for detecting suboxone in different types of specimens, such as blood or saliva. Each method has its own advantages and disadvantages in terms of accuracy, convenience, and detection window.
In conclusion, suboxone can typically be detected in urine for about 7 to 10 days after the last use. This timeframe can be influenced by factors like urine pH and hydration levels. It is important to consult with a healthcare professional or a drug testing expert for more accurate information regarding suboxone detection times in specific situations.
Detection Times in Blood
When it comes to determining how long Suboxone stays in your system, one of the factors that is commonly taken into consideration is the detection times in blood. This refers to the period during which traces of the drug can be identified in your bloodstream through a blood test. The detection times can vary depending on several factors, including the sensitivity of the testing method employed.
On average, Suboxone can typically be detected in blood for around 24 to 48 hours after its last use. However, it is important to note that this time frame is just an approximation and may differ from person to person. The actual length of time Suboxone stays in your blood can depend on various factors, such as individual metabolism, dosage, and frequency of use.
During this detection period, the active ingredients of Suboxone, such as buprenorphine and naloxone, can be identified in your bloodstream. These substances play a crucial role in managing opioid dependence and withdrawal symptoms.
Sensitivity of the Testing Method
The sensitivity of the testing method is a key factor that can influence the detection times of Suboxone in blood. Different testing methods have varying levels of sensitivity, meaning that some methods are more capable of detecting lower amounts of Suboxone compared to others.
For instance, highly sensitive laboratory tests are typically more accurate and can detect very small traces of Suboxone in blood samples. These tests can provide a detection window that extends beyond the average 24 to 48-hour range, potentially identifying Suboxone use from days prior.
However, less sensitive point-of-care tests, such as rapid urine tests, may have a shorter detection window. These tests are commonly used for quick assessments and may not detect Suboxone in your blood after the initial 24 to 48 hours. Therefore, if a more detailed and accurate timeframe is required, a more sensitive laboratory test should be employed.
It’s also worth noting that each individual’s metabolism can affect the detection times of Suboxone in blood. If your body processes substances at a faster rate, the drug may be eliminated from your bloodstream more rapidly. On the other hand, individuals with slower metabolism may retain the drug in their system for a longer period of time.
In conclusion, Suboxone can typically be detected in blood for approximately 24 to 48 hours after its last use. However, this timeframe may vary depending on the sensitivity of the testing method employed. It’s important to consider individual factors such as metabolism, dosage, and frequency of use when estimating the detection times of Suboxone in blood. If you require accurate results, a more sensitive laboratory test should be utilized.
Detection Times in Saliva
Saliva tests are commonly used to detect the presence of drugs in a person’s system. When it comes to Suboxone, these tests can effectively identify its presence for approximately 1 to 4 days after the last use. This short detection window makes saliva testing a useful tool for determining recent drug use.
Suboxone is a medication primarily used for the treatment of opioid addiction. It contains a combination of buprenorphine and naloxone, which act together to reduce withdrawal symptoms and cravings. As with any medication, Suboxone can be misused or abused, leading to potential health risks. Thus, it is crucial for healthcare professionals to determine if an individual has been taking Suboxone or any opioids.
Saliva tests are non-invasive and easy to administer, making them a preferred method for detecting recent drug use. During a saliva test, a swab is placed inside the mouth to collect a sample of saliva. This sample is then analyzed to identify the presence of drugs, including Suboxone.
The timeframe for detecting Suboxone in saliva can vary depending on several factors, such as the individual’s metabolism, frequency of use, and dosage. On average, Suboxone can be detected in saliva for up to 4 days after the last use. However, it is also possible for the drug to be detected as early as 1 day after use.
It is important to note that the detection times mentioned are approximate and can vary from person to person. Factors such as individual metabolism, body mass, hydration levels, and liver function can all influence how long Suboxone remains detectable in saliva. Additionally, the sensitivity of the testing equipment used can also affect the detection window.
Compared to other methods of drug testing, such as urine or hair tests, saliva tests have a shorter detection window for Suboxone. Urine tests can detect Suboxone for up to 7 to 10 days after the last use, while hair tests can provide a detection window of up to 90 days or even longer. Therefore, if a more extended period of drug use needs to be monitored, urine or hair tests may be more appropriate.
It is worth noting that while saliva tests have the advantage of detecting recent drug use, they may not be as effective in identifying long-term or chronic drug use. This is because Suboxone is eliminated from the body relatively quickly compared to other substances. Thus, it is important to consider the specific needs and circumstances of the drug testing situation when choosing a suitable method.
In conclusion, saliva tests can detect the presence of Suboxone for approximately 1 to 4 days after the last use. This relatively short detection window makes saliva testing an effective tool for identifying recent drug use. Factors such as individual metabolism, dosage, and testing equipment sensitivity can influence the exact detection times. It is important to consider the specific circumstances of the drug testing situation and the desired detection window when choosing the appropriate method.
Detection Times in Hair
Suboxone, a medication primarily used for the treatment of opioid addiction, can be detected in hair follicles for an extended period of time. With its active ingredients buprenorphine and naloxone, Suboxone remains in the body and is metabolized at a slower rate compared to other substances. This prolonged detection period in hair makes it the longest-lasting method of detection for Suboxone use.
When Suboxone is ingested or administered through other forms, the buprenorphine and naloxone bind to the body’s opioid receptors, effectively blocking the effects of opioid drugs and reducing withdrawal symptoms. While Suboxone’s potency wanes over time, trace amounts of its metabolites remain in the body for an extended period, including within the hair follicles.
When testing for Suboxone use in hair, the detection window is significantly longer compared to other methods such as urine or blood tests. While urine tests can typically detect Suboxone up to a few days after the last use, and blood tests usually have a detection window of up to 24 to 48 hours, hair follicle testing allows for a much longer detection period. Suboxone can be detected in hair follicles for up to 90 days after the last use.
During this time, as the hair grows, it incorporates the metabolites of Suboxone into its structure. These metabolites become trapped inside the hair shaft and remain detectable even after the hair has grown out. As a result, even if an individual stops using Suboxone, their hair can still reveal evidence of prior drug use for several months afterwards.
When conducting a hair follicle test for Suboxone, a hair sample is typically collected from the scalp. This sample is then sent to a laboratory where it undergoes a series of analytical processes. The hair is washed, pulverized, and subjected to various chemical tests to extract and identify the presence of Suboxone metabolites.
It is important to note that hair follicle tests are primarily used for long-term detection of drug use, as they can indicate patterns of substance abuse over several months. These tests are less commonly used for short-term detection or immediate confirmation of current substance use. Therefore, if a person has recently discontinued Suboxone, a hair follicle test may still yield positive results due to the prolonged detection window.
In conclusion, Suboxone can be detected in hair follicles for up to 90 days after the last use. With its extended detection window, hair testing provides a valuable tool for detecting past Suboxone use and monitoring adherence to treatment programs. However, it is crucial to interpret the results in the context of the individual’s circumstances and consider other factors before drawing conclusions about current substance use.
Conclusion
Understanding how long Suboxone stays in the system is crucial for individuals using this medication, healthcare professionals, and those conducting drug tests, as it helps determine appropriate usage and accurate testing outcomes.
Suboxone, a combination medication containing buprenorphine and naloxone, is commonly used in the treatment of opioid addiction. As with any medication, it is important to understand the length of time it remains in the body to ensure safe and effective use, as well as to accurately interpret drug test results.
When discussing the duration of Suboxone in the system, it is essential to consider several factors that can influence its presence and metabolism. These factors include the dosage, frequency of use, individual metabolism, and overall health of the person taking the medication.
On average, Suboxone can be detected in urine for approximately 2-4 days after the last dose. However, the detection window can vary depending on various factors. For individuals who have been using Suboxone for a long period or at high doses, it may be detectable in urine for a longer period.
In blood, Suboxone can typically be detected for about 24-72 hours after the last dose. However, it is worth noting that blood tests are less commonly used for Suboxone detection compared to urine tests.
Saliva tests can detect Suboxone for a shorter duration, usually up to 1-4 days after the last dose. These tests are commonly used in settings where immediate drug use is suspected or for roadside drug testing.
When it comes to hair follicle tests, Suboxone can be detected for a longer period compared to other methods. It can be present in hair follicles for up to 90 days after the last use.
It is important to keep in mind that these time frames are general estimates and can vary from person to person. Factors such as individual metabolism, liver function, hydration levels, and method of administration can all affect how long Suboxone stays in the system.
Knowing the duration of Suboxone’s presence in the body is not only important for individuals using the medication but also for healthcare professionals who need to monitor its efficacy and adjust dosages if necessary. Additionally, accurate knowledge about the drug’s elimination timeframe is crucial for those conducting drug tests to accurately interpret results.
In conclusion, understanding how long Suboxone stays in the system is vital for various stakeholders involved. This knowledge helps determine appropriate usage, monitor treatment effectiveness, and ensure accurate drug test outcomes. It is always recommended to consult with healthcare professionals for personalized information regarding Suboxone usage and detection.

